Results for algebra equations solutions

Showing 1 - 10 of 100
Abstract Contemporary 7th Edition Algebra Manual Solution

Abstract Contemporary 7th Edition Algebra Manual Solution

Abstract AlgebraContemporary Algebra (2004)

Looking for the solutions manual to accompany the Abstract Contemporary Algebra 7th Edition textbook? This resource provides comprehensive solutions to help students understand and master abstract algebraic concepts. Perfect for self-study, homework help, and exam preparation, this manual offers detailed step-by-step solutions to a wide range of problems found within the textbook.

1 Answer Practice Algebra Substitution Key

1 Answer Practice Algebra Substitution Key

algebra substitutionpractice algebra (2006)

Master algebra substitution with our focused practice exercises. This essential resource provides detailed problems designed to enhance your understanding of how to substitute values into algebraic equations. A comprehensive answer key is included, allowing you to easily check your work, identify areas for improvement, and solidify your knowledge in solving various algebra problems.

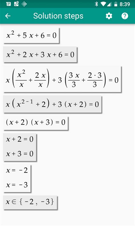
Algebra Solution Calculator

Algebra Solution Calculator

algebra solverequation calculator (2010)

Our online algebra calculator provides instant solutions to a wide range of algebraic problems, from simple equations to complex expressions. Get step-by-step explanations to understand the process and improve your algebra skills. Whether you're a student or just need help with algebra, this tool provides accurate and reliable results.

And Applications Chegg Edition Algebra 4th Linear Its

And Applications Chegg Edition Algebra 4th Linear Its

linear algebraalgebra 4th edition (2008)

Explore the fundamentals of linear algebra and its practical applications with this comprehensive guide, likely based on the 4th edition and possibly referencing Chegg's solutions. Understand key concepts, solve problems, and delve into real-world examples to master linear algebra effectively. This resource is potentially beneficial for students seeking to enhance their understanding of linear algebra through solved problems and practical applications.

Worksheet 61 Equations Chemical Answers

Worksheet 61 Equations Chemical Answers

chemical equationsworksheet 61 answers (2019)

Explore comprehensive solutions for Worksheet 61, specifically designed to help students master chemical equations. This resource provides clear, step-by-step answers for balancing chemical equations, understanding reaction types, and reinforcing fundamental chemistry concepts through practical exercises. Ideal for self-assessment and enhancing your understanding of chemical reactions.

Algebra 1 Assessment Answer Key Test Nc

Algebra 1 Assessment Answer Key Test Nc

Algebra 1 answer keyAlgebra 1 assessment answers (1993)

Access the comprehensive Algebra 1 assessment answer key designed to help students verify their solutions and prepare effectively for upcoming tests. This resource provides detailed answers for various Algebra 1 exams, making it an invaluable tool for understanding concepts and improving performance, especially for those seeking NC Algebra 1 test answers.

Page 1 of 10
Randomized data view for Wiley component with images.