Results for Emergency care instructor

Showing 1 - 10 of 26
ashi cpr instructor guide

ashi cpr instructor guide

ASHI CPR instructor guideCPR instructor training (1990)

Explore the definitive ASHI CPR Instructor Guide, an essential resource for current and aspiring CPR instructors. This comprehensive manual provides all necessary curriculum details, teaching methodologies, and certification requirements to effectively train students in life-saving CPR techniques, ensuring high-quality emergency care education under ASHI standards.

Guidelines Heart Bls American

Guidelines Heart Bls American

BLS guidelinesBasic Life Support (2013)

Explore the essential American BLS guidelines for immediate response to cardiac arrest and other life-threatening emergencies. This comprehensive resource covers crucial Basic Life Support techniques, including effective CPR, recognizing signs of distress, and utilizing automated external defibrillators (AEDs), aligning with the standards set by leading American organizations like the American Heart Association to enhance survival rates and provide critical care.

burn section diagnosis and treatment normal regulationsclinical medical nursing normal regulations chinese

burn section diagnosis and treatment normal regulationsclinical medical nursing normal regulations chinese

Burn section diagnosisBurn treatment protocols (2012)

This resource outlines the essential diagnosis and treatment protocols for burn injuries, integrating normal regulations for clinical medical nursing. It specifically details the standard practices and guidelines within the Chinese healthcare system, offering a comprehensive understanding for healthcare professionals on effective burn management and patient care.

Accessing The Wan Ccna Exploration Labs And Study Instructor Edition

Accessing The Wan Ccna Exploration Labs And Study Instructor Edition

WANCCNA Exploration (2018)

Explore the world of Wide Area Networks (WAN) with this comprehensive study guide focused on CCNA Exploration labs. This resource is designed for both students and instructors, providing detailed instructions and insights into the practical application of networking concepts. Access the instructor edition for enhanced learning materials and a deeper understanding of CCNA Exploration topics related to WAN technologies.

Bank Re Instructor Test Collection Manual Solution 17

Bank Re Instructor Test Collection Manual Solution 17

Bank Re InstructorTest Collection (2020)

This page provides access to a comprehensive Bank Re Instructor Test Collection, including Manual Solution 17. It's designed as a valuable resource for instructors and students alike, offering detailed solutions and insights into various test scenarios related to Bank Re concepts. Use this collection to enhance your understanding and mastery of the subject matter.

The Dog That Taught Me Tennis

The Dog That Taught Me Tennis

dog tennistennis lessons from dog (1991)

Discover the heartwarming and utterly unique story of my canine tennis instructor. This incredible narrative explores how my loyal dog unexpectedly became my tennis coach, providing valuable lessons that transformed my game. Learn about the special bond and the unconventional methods that made this an truly unusual tennis coach experience, proving that sometimes, the best teachers have four paws.

Emergency Medical Response Workbook Answers

Emergency Medical Response Workbook Answers

emergency medical response answersEMR workbook solutions (1999)

Navigate your emergency medical response workbook with confidence using comprehensive solutions designed to reinforce your learning. This resource provides clear answers and explanations, serving as an invaluable study guide for aspiring EMTs, paramedics, and first responders preparing for certification exams or simply seeking to master critical emergency care concepts.

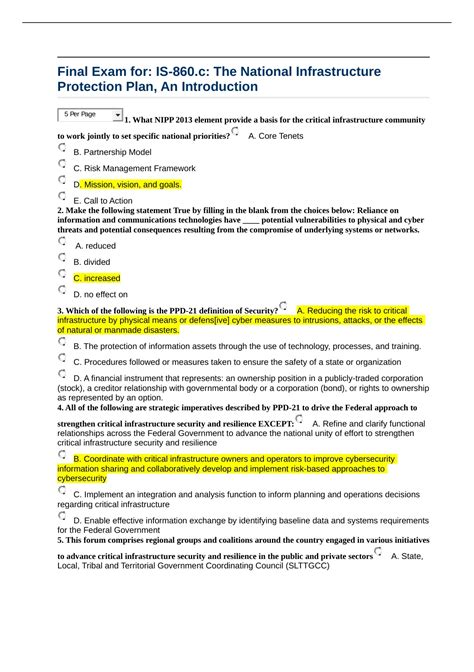
fema is 860 c answers

fema is 860 c answers

FEMA IS-860C answersIS-860C exam solutions (1990)

Looking for accurate answers to FEMA IS-860C? This Independent Study course focuses on Multiagency Coordination Systems (MACS) within the National Incident Management System (NIMS). Our comprehensive guide provides essential solutions and study material to help you successfully complete the course and enhance your emergency management skills, ensuring preparedness for critical incidents.

Page 1 of 3
Randomized data view for Wiley component with images.